Chapter 4. N32 Examples and Case Studies

This chapter provides examples and case studies of programs that have been converted from o32 to n32. Each step in the conversion is presented and examined in detail. This chapter contains:

An Example Application

An examination of the following sample application, app1, illustrates the steps necessary to port from o32 to n32. As you can see, app1 is trivial in functionality, but it is constructed to illustrate several of the issues involved in converting code from o32 to n32.

The app1 application contains the following files:

  • main.c, which contains the function main().

  • foo.c, which contains foo(), a varargs function.

  • gp.s, which contains the assembly language leaf routine, get_gp(). This function returns the value of the global pointer register ($gp).

  • regs.s, which contains the assembly language function regs(). This function is linked separately into its own DSO. The function regs() returns the value of $gp, the return address register ( $ra), and the stack pointer ($sp). This function also makes calls to the libc routines malloc() and free() as well as calculating the sum of two double precision values passed to it as arguments and returns the sum through a pointer that is also passed to it as an argument.

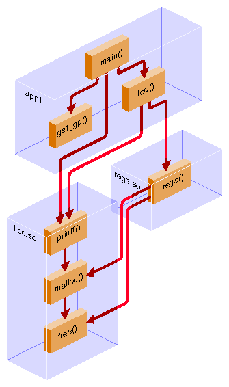
Figure 4-1 shows a call tree for the app1 program. It illustrates that main() calls get_gp(), foo() and printf(). The function foo() calls regs() and printf(), while regs() calls malloc() and free(). The figure also shows that app1 is linked against two shared objects, libc.so and regs.so.

Figure 4-1. Call Tree for App1

Call Tree for App1

The source code for the original versions of main.c, foo.c, gp.s. and regs.s are shown in the following:

/* main.c */
extern void foo();

main()
{
   unsigned gp,ra,sp, get_regs();
   double d1 = 1.0;
   double d2 = 2.0;
   double res;

   gp = get_gp();
   printf(“gp is 0x%x\n”, gp);
   foo(7, 3.14, &gp, &ra, 
       &sp, d1, &d2, &res);
}

/* foo.c */

#include <stdarg.h>

void foo(int narg, ...)
{
  va_list ap;
  double d1;
  double daddr1, *daddr2, *resaddr; 
  unsigned *gp, *ra, *sp;

  va_start(ap, narg);
  printf(“Number of Arguments is: %d\n”,narg);

  d1 = va_arg(ap, double);
  printf(“%e\n”,d1);

  gp = va_arg(ap, unsigned*);
  ra = va_arg(ap, unsigned*);
  sp = va_arg(ap, unsigned*);

  daddr1 = va_arg(ap, double);
  daddr2 = va_arg(ap, double*);
  resaddr = va_arg(ap, double*);

  printf(“first  double precision argument is %e\n”,daddr1);
  printf(“second double precision argument is %e\n”,*daddr2);

  regs(gp, ra, sp, daddr1, daddr2, resaddr);
  printf(“Back from assembly routine\n”);
  printf(“gp is 0x%x\n”,*gp);
  printf(“ra is 0x%x\n”,*ra);
  printf(“sp is 0x%x\n”,*sp);
  printf(“result of double precision add is %e\n”,*resaddr);

  va_end(ap);
}

/* gp.s */
#include <regdef.h>
#include <asm.h>

LEAF(get_gp)
        move  v0, gp
        j     ra
        .end  get_gp

/* regs.s */
#include <regdef.h>

        .text
        .globlregs          # make regs external
        .entregs 2
regs:
        .set noreorder
        .cploadt9           # setup gp
        .set reorder
        subu   sp, 32       # create stack frame
        sw     ra, 28(sp)   # save return address
        .cprestore     24   # for caller saved gp 
                            # save gp 24(sp)
        sw     gp, 0(a0)    # return gp in first arg
        sw     ra, 0(a1)    # return ra in second arg
        sw     sp, 0(a2)    # return sp in third arg

        li     a0, 1000     # call libc routines
        jal    malloc       # for illustrative purposes
        move   a0, v0       # to make regs
        jal    free         # a nested function

        lw     t0, 56(sp)   # get fifth argument from stack
        lwc1   $f4, 4(t0)   # load it in fp register
        lwc1   $f5, 0(t0)   # fp values are stored in LE  
                            # format
        lwc1   $f6, 52(sp)  # get fourth argument from stack
        lwc1   $f7, 48(sp)  # fp values are stored in LE
                            # format

        add.d  $f8, $f4, $f6  # do the calculation
        lw     t0, 60(sp)     # get the sixth argument
                              # from the stack
        swc1   $f8, 4(t0)     # save the result
        swc1   $f9, 0(t0)     # fp values are stored in LE

    lw     ra, 28(sp)     # get return address
    addu   sp, 32         # pop stack
    j      ra             # return to caller
    .end regs

Building and Running the o32 Application

The commands used to build app1 are shown below. As mentioned previously, regs.s is compiled and linked separately into its own DSO, while main.c, foo.c, and gp.s are compiled and linked together.

% cc -32 -O -shared -o regs.so regs.s
% cc -32 -O -o app1 main.c foo.c gp.s regs.so

In order to run the application, the LD_LIBRARY_PATH environment variable must be set to the directory where regs.so resides as shown in the following command:

% setenv LD_LIBRARY_PATH .

Running the application produces the following results. Note that the value of $gp is different when code is executing in the regs.so DSO.

% app1
   gp is 0x100090f0
   Number of Arguments is: 7
   3.140000e+00
   first  double precision argument is 1.000000e+00
   second double precision argument is 2.000000e+00
   Back from assembly routine
   gp is 0x5fff8ff0
   ra is 0x400d10
   sp is 0x7fff2e28
   result of double precision add is 3.000000e+00

Porting Issues

If the files foo.c and main.c were recompiled for n32, the resulting executable would not work for a variety of reasons. Each reason is examined below and a solution is given. The resulting set of files will work when compiled either for o32 or for n32. This section covers:

Varargs Routines

Attempting to recompile main.c foo.c  -n32 results in two sets of warnings shown below:

% cc -n32 -O -o app1 main.c foo.c gp2.s

   foo.c

   !!! Warning (user routine 'foo'):

   !!! Prototype required when passing floating point parameter to 
   varargs routine: printf

   !!! Use '#include <stdio.h>' (see ANSI X3.159-1989, Section 3.3.2.2)

   ld32: WARNING 110: floating-point parameters exist in the call for 
   “foo”, a VARARG function, in object “main.o” without a prototype -- 
   would result in invalid result.  Definition can be found in object 
   “foo.o”

   ld32: WARNING 110: floating-point parameters exist in the call for 
   “printf”, a VARARG function, in object “foo.o” without a prototype 
   -- would result in invalid result.  Definition can be found in 
   object “/usr/lib32/mips4/libc.so”

The first warning points out that printf() is a varargs routine that is being called with floating point arguments. Under these circumstances, a prototype must exist for printf(). This is accomplished by adding the following line to the top of foo.c:

#include <stdio.h>

The second warning points out that foo() is also a varargs routine with floating point arguments and must also be prototyped. This is fixed by changing the declaration of foo() in main.c to:

foo(int, ...)

For completeness, <stdio.h> is also included in main.c to provide a prototype for printf() should it ever use floating point arguments.

As a result of these small changes, the C files are fixed and ready to be compiled using the -n32 option. The new versions are shown below.

/* main.c */
#include <stdio.h>
extern void foo(int, ...);

main()
{
   unsigned gp,ra,sp, get_regs();
   double d1 = 1.0;
   double d2 = 2.0;
   double res;

   gp = get_gp();
   printf(“gp is 0x%x\n”, gp);

   foo(7, 3.14, &gp, &ra, 
       &sp, d1, &d2, &res);

}


/* foo.c */
#include <stdio.h>
#include <stdarg.h>

void foo(int narg, ...)
{

  va_list ap;
  double d1;
  double daddr1, *daddr2, *resaddr; 
  unsigned *gp, *ra, *sp;

  va_start(ap, narg);
  printf(“Number of Arguments is: %d\n”,narg);

  d1 = va_arg(ap, double);
  printf(“%e\n”,d1);

  gp = va_arg(ap, unsigned*);
  ra = va_arg(ap, unsigned*);
  sp = va_arg(ap, unsigned*);

  daddr1 = va_arg(ap, double);
  daddr2 = va_arg(ap, double*);
  resaddr = va_arg(ap, double*);

  printf(“first  double precision argument is %e\n”,daddr1);
  printf(“second double precision argument is %e\n”,*daddr2);

  regs(gp, ra, sp, daddr1, daddr2, resaddr);
  printf(“Back from assembly routine\n”);
  printf(“gp is 0x%x\n”,*gp);
  printf(“ra is 0x%x\n”,*ra);
  printf(“sp is 0x%x\n”,*sp);
  printf(“result of double precision add is %e\n”,*resaddr);

  va_end(ap);
}

Assembly Language Issues

Because get_gp() is a leaf routine that is linked in the same DSO where it is called, no changes are required to port it to n32. However, you have to recompile it.

On the other hand, regs() requires a lot of work. The issues that need to be addressed are detailed in the following sections.

 gp Register

As explained throughout this book, the o32 ABI follows the convention that $gp (global pointer register) is caller saved. This means that the global pointer is saved before each function call and restored after each function call returns. This is accomplished by using the .cpload and .cprestore assembler pseudo instructions respectively. Both lines are present in the original version of regs.s.

The n32 ABI, on the other hand, follows the convention that $gp is callee saved. This means that $gp is saved at the beginning of each routine and restored right before that routine itself returns. This is accomplished through the use of .cpsetup, an assembler pseudo instruction.

The recommended way to deal with these various pseudo instructions is to use the macros provided in <sys/asm.h>. The following macros provide correct use of these pseudo instructions whether compiled for o32 or for n32:

  • SETUP_GP expands to the .cpload t9 pseudo instruction for o32. For n32 it is null.

  • SAVE_GP(GPOFF) expands to the .cprestore pseudo instruction for o32. For n32 it is null.

  • SETUP_GP64(GPOFF, regs) expands to the .cpsetup pseudo instruction for n32. For o32 it is null.

Register Size

Under o32, registers are 32 bits wide. Under n32, they are 64 bits wide. As a result, assembly language routines must be careful in the way they operate on registers. The following macros defined in <sys/asm.h> are useful because they expand to 32-bit instructions under o32 and to 64-bit instructions under n32.

  • REG_S expands to sw for o32 and to sd for n32.

  • REG_L expands to lw for o32 and to ld for n32.

  • PTR_SUBU expands to subu for o32 and to sub for n32.

  • PTR_ADDU expands to addu for o32 and to add for n32.

Argument Passing

The get_regs() function in regs.s is called with six arguments. Under o32, the first three are passed in registers a0 through a2. The fourth argument (a double precision parameter) is passed at offset 16 relative to the stack. The fifth and sixth arguments are passed at offsets 24 and 28 relative to the stack, respectively. Under n32, however, all of the arguments are passed in registers. The first three arguments are passed in registers a0 through a2 as they were under o32. The next parameter is passed in register $f15. The last two parameters are passed in registers a4 and a5 respectively. Table 4-1 summarizes where each of the arguments are passed under the two conventions.

Table 4-1. Argument Passing

Argument

o32

n32

argument1

a0

a0

argument2

a1

a1

argument3

a2

a2

argument4

$sp+16

$f15

argument5

$sp+24

a4

argument6

$sp+28

a5



Note: Under o32, there are no a4 and a5 registers, but under n32 they must be saved on the stack because they are used after calls to an external function.

The following code fragment illustrates accessing the arguments under n32:

        mov.d   $f4,$f15            # 5th argument in 5th fp
                                    # arg. register
        l.d     $f6,0(a4)           # fourth argument in
                                    # fourth arg. register
        s.d     $f8,0(a5)           # save in 6th arg. reg

Extra Floating Point Registers

As explained in Chapter 3, “Compatibility, Porting, and Assembly Language Programming Issues”, floating point registers are 64 bits wide under n32. They are no longer accessed as pairs of single precision registers for double precision calculations. As a result, the section of code that uses the pairs of lwc1 or swc1 instructions must be changed. The simplest way to accomplish this is to use the l.d assembly language instruction. This instruction expands to two lwc1 instructions under -mips1 ; under -mips2 and above, it expands to the ldc1 instruction.

Putting It Together

This section shows the new version of regs.s. It is coded so that it will compile and execute for either o32 or n32 environments.

/* regs.s */
#include <sys/regdef.h>
#include <sys/asm.h>

.text

LOCALSZ=5            # save ra, a4, a5, gp, $f15

FRAMESZ= (((NARGSAVE+LOCALSZ)*SZREG)+ALSZ)&ALMASK

RAOFF=FRAMESZ-(1*SZREG)     # stack offset where ra is saved
A4OFF=FRAMESZ-(2*SZREG)     # stack offset where a4 is saved
A5OFF=FRAMESZ-(3*SZREG)     # stack offset where a5 is saved
GPOFF=FRAMESZ-(4*SZREG)     # stack offset where gp is saved
FPOFF=FRAMESZ-(5*SZREG)     # stack offset where $f15 is    
                            # saved
                            # a4, a5, and $f15 don't have to
                            # be saved, but no harm done in
                            # doing so
NESTED(regs, FRAMESZ, ra)
                            # define regs to be a nested
                            # function
    SETUP_GP                # used for caller saved gp
    PTR_SUBU sp,FRAMESZ     # setup stack frame
    SETUP_GP64(GPOFF, regs) # used for callee saved gp
    SAVE_GP(GPOFF)          # used for caller saved gp

    REG_S   ra, RAOFF(sp)   # save ra on stack

#if (_MIPS_SIM != _MIPS_SIM_ABI32)    
                            # not needed for o32
    REG_S   a4, A4OFF(sp)   # save a4 on stack (argument 4)
    REG_S   a5, A5OFF(sp)   # save a5 on stack (argument 5)
    s.d     $f15,FPOFF(sp)  # save $f15 on stack (argument 6)
#endif /* _MIPS_SIM != _MIPS_SIM_ABI32 */

    sw      gp, 0(a0)       # return gp in first arg
    sw      ra, 0(a1)       # return ra in second arg
    sw      sp, 0(a2)       # return sp in third arg

    li      a0, 1000        # call malloc 
    jal     malloc          # for illustration purposes only

    move    a0, v0          # call free
    jal     free            # go into libc.so twice
                                # this is why a4, a5, $f15
                                # had to be saved

#if (_MIPS_SIM != _MIPS_SIM_ABI32)
                                # not needed for o32
        l.d     $f15,FPOFF(sp)  # restore $f15 (argument #6)
        REG_L   a4, A4OFF(sp)   # restore a4   (argument #4)
        REG_L   a5, A5OFF(sp)   # restore a5   (argument #5)
#endif /* _MIPS_SIM != _MIPS_SIM_ABI32 */

#if (_MIPS_SIM == _MIPS_SIM_ABI32)   
                                # for o32 arguments will
                                # need to be pulled from the
                                # stack
        lw      t0,FRAMESZ+24(sp) # fifth argument is 24
                                  # relative to original sp
        l.d     $f4,0(t0)         # use l.d for correct code
                                  # on both mips1 & mips2
        l.d     $f6,FRAMESZ+16(sp)  # fourth argument is 16
                                    # relative to original sp
        add.d   $f8, $f4, $f6       # do the calculation
        lw      t0,FRAMESZ+28(sp)   # sixth argument is 28
                                    # relative to original sp
        s.d     $f8,0(t0)           # save the result there
#else
                                    # n32 args are in regs 
        mov.d   $f4,$f15            # 5th argument in 5th fp
                                    # arg. register
        l.d     $f6,0(a4)           # fourth argument in
                                    # fourth arg. register
        add.d   $f8, $f4, $f6       # do the calculation
        s.d     $f8,0(a5)           # save in 6th arg. reg
#endif /* _MIPS_SIM != _MIPS_SIM_ABI32 */

        REG_L   ra, RAOFF(sp)     # restore return address
        RESTORE_GP64              # restore gp for n32 
                                  # (callee saved)
        PTR_ADDU sp,FRAMESZ       # pop stack
        j        ra               # return to caller
.endregs

Building and Running the N32 Application

The commands for building an n32 version of app1 are shown below. The only difference is in the use of the -n32 argument on the compiler command line. If app1 was a large application using many libraries, the command line or makefile would possibly need to be modified to refer to the correct library paths. In the case of app1, the correct libc.so is automatically used as a result of the -n32 argument.

% cc -n32 -O -shared -o regs.so regs.s
% cc -n32 -O -o app1 main.c foo.c gp.s regs.so

In order to run the application, the LD_LIBRARY_PATH environment variable must again be set to the directory where regs.so resides.

% setenv LD_LIBRARY_PATH .

Running the application produces the following results. Note that the values of some of the returned registers are different from those returned by the o32 version of app1.

% app1
   gp is 0x100090e8
   Number of Arguments is: 7
   3.140000e+00
   first  double precision argument is 1.000000e+00
   second double precision argument is 2.000000e+00
   Back from assembly routine
   gp is 0x5fff8ff0
   ra is 0x10000d68
   sp is 0x7fff2e30
   result of double precision add is 3.000000e+00

Building Multiple Versions of the Application

Following the prevous procedure generates new n32 versions of app1 and regs.so; however, they overwrite the old o32 versions. To build multiple versions of app1, use one of the following methods:

  • Use different names for the n32 and o32 versions of the application and DSO. This method is simple, but for large applications, you must rename each DSO.

  • Create separate directories for the o32 and n32 applications and DSOs, respectively. Modify the preceding commands or modify the makefiles to create app1 and reg.so in the appropriate directory. This method offers more organization than the first approach, but you must set the LD_LIBRARY_PATH accordingly.

  • Create separate directories as specified above, but add the -rpath argument to the command line that builds app1.